Vielha-Hospitau seismic station (VIES) | icgc

Vielha-Hospitau seismic station (VIES)

Code: CA.VIES Name: Vielha-Hospitau 

Latitude: 42.7016 N Longitude: 0.7969 E Height: 986 m

Local depth: 0 m

Owner: Institut Cartogràfic i Geològic de Catalunya, Instituto Geográfico Nacional

Soil features
LithologyPeriodVs30 (m/s)Classe EC8F0 (Hz)
Pebbles and siltsQuaternary395E3.8
Instrumentation by channels and periods
ChannelsStart dateSensor typeDigitizer typeInstrumental response
HNZ, HNN, HNE22/10/2004Accelerometer24 bits[StationXML]

 

Geophysical characterisation

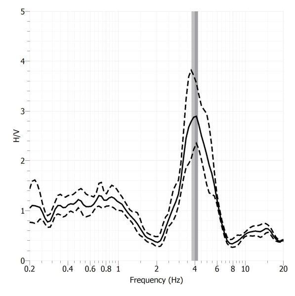
H/V Spectral ratio from seismic noise

H/V spectral quotient of the seismic noise record at the Vielha - Hospitau seismic station. A peak is observed around 4.0 Hz that can be related to the fundamental frequency of the soil and, therefore, an acoustic impedance contrast is expected in the subsoil.

Imatge
H/V Spectral ratio of seismic noise records from Vielha-Hospitau seismic station

H/V Spectral ratio of seismic noise records from Vielha-Hospitau seismic station.

 

S-waves velocity model

In the shear wave propagation velocity model (Vs) obtained by inverting the dispersion curves (array technique), a surface layer with a velocity of about 360 m/s and a thickness of about 18 meters is observed. Below, the velocity increases progressively as the depth increases. Up to 46 meters there are 835 m/s and then the velocity increases to 920 m/s. At about 50 meters deep, velocity values ​​close to 1350 m/s are detected, which can be interpreted as the rocky basement.

Imatge
S-waves velocity model of Vielha-Hospitau seismic station

S-waves velocity model of Vielha-Hospitau seismic station.