Estación sísmica de Vielha-Hospitau (VIES) | icgc

Estación sísmica de Vielha-Hospitau (VIES)

Código: CA.VIES Nombre: Vielha-Hospitau (VIES) 

Latitud: 42.7016 N Longitud: 0.7969 E Altitud: 986 m

Profundidad local: 0 m

Propietari: Institut Cartogràfic i Geològic de Catalunya, Instituto Geográfico Nacional

Características del subsuelo
LitologíaPeriodoVs30 (m/s)Classe EC8F0 (Hz)
Cantos rodados y limosCuaternario395E3.8
Instrumentación por canales y periodos
CanalesFecha de inicioTipo de sensorTipo de digitalizadorRespuesta Instrumental
HNZ, HNN, HNE22/10/2004Acelerómetro24 bits[StationXML]

 

Caracterización geofísica

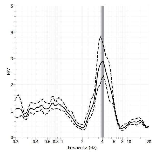
Cociente espectral H/V de ruido sísmico

Cociente espectral H/V del registro de ruido sísmico en la estación sísmica de Vielha - Hospitau. Se observa un pico alrededor de 4.0 Hz que puede relacionarse con la frecuencia fundamental del suelo y, por tanto, se espera un contraste de impedancia acústica en el subsuelo.

Imatge
Cociente espectral H/V de ruido sísmico de la estación sísmica de Vielha-Hospitau

Cociente espectral H/V de ruido sísmico de la estación sísmica de Vielha-Hospitau.

 

Modelo de velocidad de ondas S

En el modelo de velocidad de propagación de las ondas de cizalla (Vs) obtenido invirtiendo las curvas de dispersión (técnica de array) se observa una capa superficial con una velocidad de unos 360 m/s de unos 18 metros de espesor. Por debajo de la velocidad crece progresivamente a medida que va aumentando la profundidad. Hasta 46 metros hay 835 m/s y después la velocidad aumenta a 920 m/s. A unos 50 metros de profundidad, se detectan valores de velocidad cercanos a 1350 m/s que pueden interpretarse como el basamento rocoso.

Imatge
Modelo de velocidad de las ondas S para la estación sísmica de Vielha-Hospitau

Modelo de velocidad de las ondas S para la estación sísmica de Vielha-Hospitau.