Fabra seismic station (FBR) | icgc

Fabra seismic station (FBR)

Code: CA.FBR Name: Fabra 

Latitude: 41.4183 N Longitude: 2.1239 E Height: 405 m

Local depth: 0 m

Owner: Institut d'Estudis Catalans, Institut Cartogràfic i Geològic de Catalunya - Instituto Geográfico Nacional

Soil features
LithologyPeriodVs30 (m/s)Classe EC8F0 (Hz)
Pelites, sandstones and graywackesEdiacaran-Ordovician548B3.7
Instrumentation by channels and periods
ChannelsStart dateSensor typeDigitizer typeInstrumental response

HHZ, HHN, HHE

HNZ, HNN, HNE

06/06/1995Accelerometer24 bits[StationXML]

Geophysical characterization

H/V Spectral ratio from seismic noise

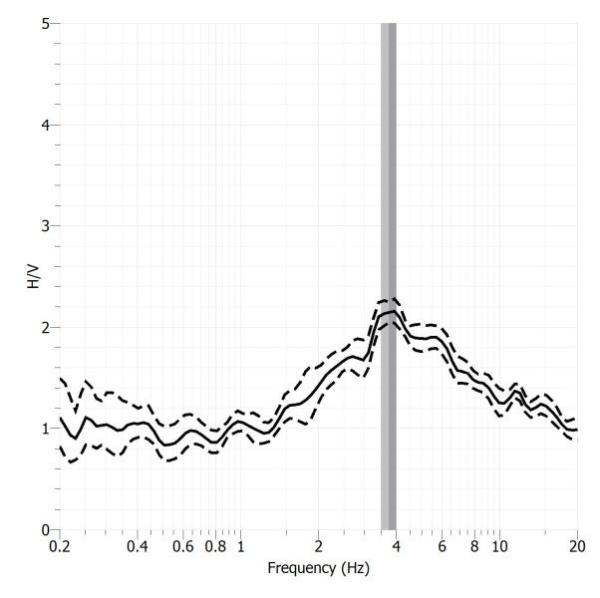
Spectral quotient H/V of the seismic noise record at the Fabra Observatory seismic station. A peak is observed around 3.7 Hz that can be related to the fundamental frequency of the soil and, therefore, an acoustic impedance contrast is expected in the subsoil.

Imatge
H/V Spectral ratio of seismic noise records from Fabra seismic station

H/V Spectral ratio of seismic noise records from Fabra seismic station.

P-waves velocity model

In the Vp model, a package of low-velocity materials (Vp < 1500 m/s) is observed with a thickness of about 5-10 meters, these values ​​are usually associated with unconsolidated sedimentary materials. Up to approximately 15-20 meters of depth, the velocity is less than 2000 m/s, these values ​​are usually related to rippable materials and are interpreted as fractured or weathered rock. Around 20-25 meters of depth, velocities of 2500-3000 m/s are reached, velocity values ​​associated with sound, non-rippable rock.

Imatge
P-waves velocity model of Fabra seismic station

P-waves velocity model of Fabra seismic station.

S-waves velocity model

In the shear wave propagation velocity model (Vs) obtained by inverting the dispersion curves (MASW technique), a soil column formed by three layers is observed. In the shallowest part we find a thin layer (2-3 meters) of low velocity (Vs∼250 m/s). Below this, there is a layer with a thickness of 20 meters and a slightly higher velocity (Vs = 550 m/s). Finally, in the deepest section of the model the velocity increases to exceed 800 m/s which could be interpreted as the bedrock.

Imatge
S-waves velocity model of Fabra seismic station

S-waves velocity model of Fabra seismic station.