Estació sísmica La Granja d'Escarp (CGRE) | icgc

Estació sísmica La Granja d'Escarp (CGRE)

Codi: CA.CGRE Nom: La Granja d'Escarp 

Latitud: 41.3824 N Longitud: 0.3691 E Alçada: 405 m

Fondària local: 2 m

Propietari: Institut Cartogràfic i Geològic de Catalunya

Característiques del subsòl
LitologiaPeríodeVs30 (m/s)Classe EC8F0 (Hz)
Calcàries, margues i argilesPaleogen745B8.5
Instrumentació per canals i períodes
CanalsData d'iniciTipus de sensorTipus de digitalitzadorResposta Instrumental
HHZ, HHN, HHE28/10/2025Velocímetre de banda molt ampla24 bits[StationXML]

 

Caracterització geofísica

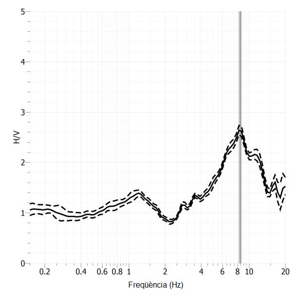
Quocient espectral H/V de soroll sísmic

Quocient espectral H/V del registre de soroll sísmic a l’estació sísmica de la Granja d’Escarp. S’observa un pic al voltant 8.5 Hz que es pot relacionar amb la freqüència fonamental del sòl i, per tant, s’espera un contrast d’impedància acústica en el subsol.

Quocient espectral H/V de soroll sísmic de l'estació sísmica de La Granja d'Escarp

Quocient espectral H/V de soroll sísmic de l'estació sísmica de La Granja d'Escarp
 

 

Model de velocitat d'ones P

En el model de Vp s’observa un gradient de velocitat que va des de la superfície (Vp ≈ 1000 m/s) fins a uns 20-25 metres de profunditat, on s’assoleixen velocitats properes a 3000 m/s. En superfície, fins aproximadament 5 metres de fondària, la velocitat és inferior a 1500 m/s, habitualment aquests valors s’associen a materials no consolidats. Al voltant de 15-20 metres de profunditat s’assoleixen velocitats superiors a 2500 m/s, associats a la roca sana no ripable que habitualment es relaciona amb el basament rocós.

Imatge
Model de velocitat de les ones P per a l'estació sísmica de la Granja d'Escarp

Model de velocitat de les ones P per a l'estació sísmica de la Granja d'Escarp

 

Model de velocitat d'ones S

En el model de velocitat de propagació de les ones de cisalla (Vs) obtingut mitjançant l’anàlisi de les ones superficials (MASW) s’observa una capa superficial amb una velocitat d’uns 630 m/s d’uns 10-15 metres de gruix. Per sota d’aquesta capa la velocitat augmenta fins a uns 915 m/s. Segons els models de Vs aquesta capa es pot estendre fins a més de 30 metres de profunditat, però la profunditat d’investigació no és prou elevada per tenir resultats significatius a més profunditat. En tot cas, els valors de Vs assolits en el models estan al límit dels llindars que s’utilitzen per definir el basament rocós (Vs ≈ 1000 m/s).

Imatge
Model de velocitat de les ones S per a l'estació sísmica de la Granja d'Escarp obtingut mitjançant l’anàlisi d’ones superficials (MASW

Model de velocitat de les ones S per a l'estació sísmica de la Granja d'Escarp obtingut mitjançant l’anàlisi d’ones superficials (MASW

 

Tomografia elèctrica

En el model de resistivitat elèctrica es detecta un nivell superficial, d’entre 2-3 m de gruix, amb valors elevats de resistivitat elèctrica (> 200 Ω·m). Aquest nivell és coherent amb la presència de materials superficials alterats i amb poca presència de fluids. Per sota d’aquest nivell superficial es detecta una alternança de trams resistius i conductius fins a la màxima fondària dels models (20 m). Aquesta distribució de la resistivitat elèctrica en fondària es correlaciona molt bé amb l’estructura típica d’aquesta zona, que consisteix en una alternança de materials tous i durs (alternances de nivells argilosos i calcaris).

Imatge
Model superficial de resistivitat elèctrica amb la ubicació del pou sísmic de la Granja d'Escarp.

Model superficial de resistivitat elèctrica amb la ubicació del pou sísmic de la Granja d'Escarp.