Estación sísmica La Granja d'Escarp (CGRE) | icgc

Estación sísmica La Granja d'Escarp (CGRE)

Código: CA.CGRE Nombre: La Granja d'Escarp

Latitud: 41.3824 N Longitud: 0.3691 E Altitud: 405 m

Profundidad local: 2 m

Propietario: Institut Cartogràfic i Geològic de Catalunya

Características del subsuelo
LitologíaPeriodoVs30 (m/s)Classe EC8F0 (Hz)
Calizas, margas y arcillasPaleógeno745B8.5
Instrumentación por canales y periodos
CanalesFecha de inicioTipo de sensorTipo de digitalizadorRespuesta Instrumental
HHZ, HHN, HHE28/10/2025Velocímetro de banda muy ancha24 bits[StationXML]

 

Caracterización geofísica

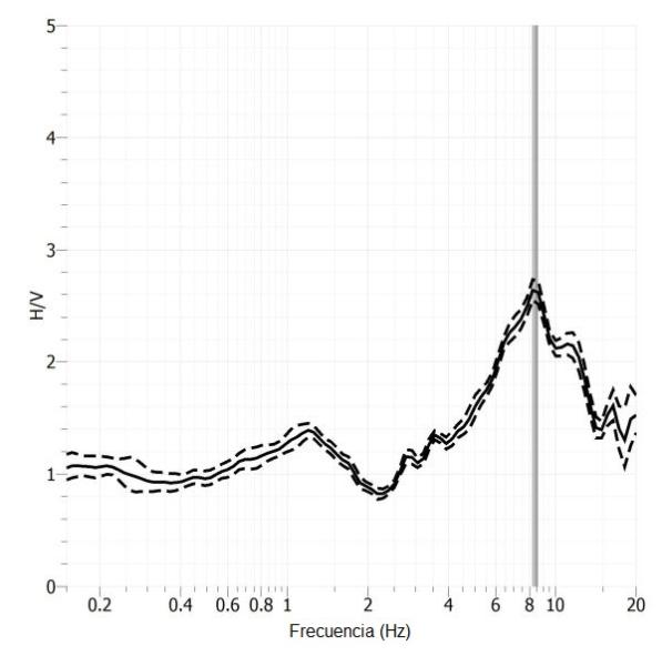
Cociente espectral H/V de ruido sísmico

Cociente espectral H/V del registro de ruido sísmico en la estación sísmica de la Granja de Escarp. Se observa un pico alrededor de 8.5 Hz que puede relacionarse con la frecuencia fundamental del suelo y, por tanto, se espera un contraste de impedancia acústica en el subsuelo.
 

Imatge
Cociente espectral H/V de ruido sísmico de la estación sísmica de La Granja d'Escarp

Cociente espectral H/V de ruido sísmico de la estación sísmica de La Granja d'Escarp

 

Modelo de velocidad de ondas P

En el modelo de Vp se observa un gradiente de velocidad que va desde la superficie (Vp ≈ 1000 m/s) hasta unos 20-25 metros de profundidad, alcanzando velocidades cercanas a 3000 m/s. En superficie, hasta aproximadamente 5 metros de profundidad, la velocidad es inferior a 1500 m/s, habitualmente estos valores se asocian a materiales no consolidados. Alrededor de 15-20 metros de profundidad se alcanzan velocidades superiores a 2500 m/s, asociados a la roca sana no ripable que habitualmente se relaciona con el basamento rocoso.

Imatge
Modelo de velocidad de las ondas P para la estación sísmica de la Granja d'Escarp

Modelo de velocidad de las ondas P para la estación sísmica de la Granja d'Escarp

 

Modelo de velocidad de ondas S

En el modelo de velocidad de propagación de las ondas de cizalla (Vs) obtenido mediante el análisis de las ondas superficiales (MASW) se observa una capa superficial con una velocidad de unos 630 m/s de unos 10-15 metros de espesor. Por debajo de esa capa la velocidad aumenta hasta unos 915 m/s. Según los modelos de Vs esta capa se puede extender hasta más de 30 metros de profundidad, pero la profundidad de investigación no es suficientemente elevada para tener resultados significativos a mayor profundidad. En cualquier caso, los valores de Vs alcanzados en los modelos están al límite de los umbrales que se utilizan para definir el basamento rocoso (Vs ≈ 1000 m/s).

Imatge
Modelo de velocidad de las ondas S para la estación sísmica de la Granja d'Escarp obtenido mediante el análisis de ondas superficiales (MASW)

Modelo de velocidad de las ondas S para la estación sísmica de la Granja d'Escarp obtenido mediante el análisis de ondas superficiales (MASW)

 

Tomografía eléctrica

En el modelo de resistividad eléctrica se detecta un nivel superficial, de entre 2-3 m de espesor, con valores elevados de resistividad eléctrica (> 200 Ω·m). Este nivel es coherente con la presencia de materiales superficiales alterados y con poca presencia de fluidos. Por debajo de este nivel superficial se detecta una alternancia de tramos resistivos y conductivos hasta la máxima profundidad de los modelos (20 m). Esta distribución de la resistividad eléctrica en profundidad se correlaciona muy bien con la estructura típica de esta zona, que consiste en una alternancia de materiales blandos y duros (alternancias de niveles arcillosos y calcáreos).

Imatge
Modelo superficial de resistividad eléctrica con la ubicación del pozo sísmico de la Granja d'Escarp

Modelo superficial de resistividad eléctrica con la ubicación del pozo sísmico de la Granja d'Escarp