Estación sísmica de Llívia-Poliesportiu (LLIS) | icgc

Estación sísmica de Llívia-Poliesportiu (LLIS)

Código: CA.LLIS Nombre: Llívia-Poliesportiu 

Latitud: 42.4626 N Longitud: 1.9783 E Altitud: 1198 m

Profundidad local: 0 m

Propietario: Institut Cartogràfic i Geològic de Catalunya

Características del subsuelo
LitologíaPeriodoVs30 (m/s)Classe EC8F0 (Hz)
Gravas (terrazas fluviales medias y glacis)Cuaternario432B1.0
Instrumentación por canales y periodos
CanalesFecha de inicioTipo de sensorTipo de digitalizadorRespuesta Instrumental
HNZ, HNN, HNE27/09/2001Acelerómetro24 bits[StationXML]

 

Caracterización geofísica

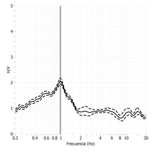
Cociente espectral H/V de ruido sísmico

Cociente espectral H/V del registro de ruido sísmico en la estación sísmica de Llívia – Poliesportiu. Se observa un pico alrededor de 1.0 Hz que se puede relacionar con la frecuencia fundamental del suelo y, por tanto, se espera un contraste de impedancia acústica en el subsuelo.

Imatge
Cociente espectral H/V de ruido sísmico de la estación sísmica de Llívia-Poliesportiu

Cociente espectral H/V de ruido sísmico de la estación sísmica de Llívia-Poliesportiu.

 

Modelo de velocidad de ondas S

En el modelo de velocidad de propagación de las ondas de cizalla (Vs) obtenido invirtiendo las curvas de dispersión (técnicas de array y MASW) se observa una capa superficial con una velocidad de unos 290 m/s de unos 9 metros de espesor. Por debajo de la velocidad crece progresivamente a medida que va aumentando la profundidad. Hasta 23 metros hay 500 m/s y después la velocidad aumenta a 670 m/s. La profundidad de investigación no es suficiente para detectar una capa que pueda relacionarse con el basamento rocoso.

Imatge
Modelo de velocidad de las ondas S para la estación sísmica de Llívia-Poliesportiu

Modelo de velocidad de las ondas S para la estación sísmica de Llívia-Poliesportiu.